Uncontested Divorce in Oregon: Prepare Your Divorce Papers Online with YourForms
Are you looking for a way to file an uncontested divorce in Oregon without going through the stress of hiring a lawyer or visiting court rooms often? You are in the right place. YourForms offers a self-help online service for your divorce process.
YourForms is an online divorce Oregon service and not a law firm. It guides couples who want to file for divorce on their own, without legal representation or advice of an attorney.
Ready to take on the process confidently? Let’s help you get started today.
What an Uncontested Divorce Means Under Oregon Law

Uncontested divorce in Oregon is when spouses file for divorce online Oregon after signing an agreement on the terms of their dissolution. If the case becomes contested, you’ll have to hire an attorney. However, to avoid the hurdles of running around the court rooms and law firms, you can request for marriage separation online in just a few minutes. And that’s where YourForms comes in.
For a case to be uncontested in Oregon, both spouses must agree on ending the marriage. These agreements cover:
- Division of property and debt;
- Spousal support (alimony), if need be;
- Child custody and parenting, if children are involved;
- Child support responsibilities.
It is important to note that having children or shared property does not automatically make a divorce contested. As long as both spouses agree and are ready to file divorce documents, the case can still proceed as uncontested. However, if there is any disagreement on these issues, it becomes contested and may require the need of an attorney.
YourForms is designed for Oregon uncontested divorce only. It helps you prepare the correct court-ready documents in no time and at a cheaper rate.
Oregon No-Fault Divorce and the Irreconcilable Differences Standard
Oregon is purely a no-fault state when it comes to marriage dissolution. You don’t want to be left at loose ends here. That is why when filing for Oregon no fault divorce, you must have reached a mutual agreement with your partner as the only valid ground for divorce is “irreconcilable differences.”
Irreconcilable differences such as:
- Communication problems;
- Conflicting lifestyle;
- Different goals and priorities;
- Loss of emotional connection and companionship.
Moreover, you can try Oregon divorce filing online when:
- You and your partner agree on who shares the custody of the kids, if any;
- The interest of the kids is respected, as well;
- There is no history of domestic abuse in the family;
- There is no dispute on properties or debts settlement.
Meeting these requirements makes it easy for the judge to approve the Oregon circuit court divorce without delay. And, YourForms prepares documents in accordance with Oregon’s no-fault divorce requirements.
Who Can File an Uncontested Divorce in Oregon
Several qualifications determine who can file for an online divorce Oregon service, but on a common ground, the qualified ones are:
- Heterosexual couples;
- Military couples;
- Same-sex couples.
Such couples must meet basic requirements under the Oregon law. It’s either:
- One of the two is a resident of Oregon; or
- Both are legally married in the state.
But again, there must also be full agreement on who keeps the children if they have any, and who provides financial assistance when needed. Moreover, property division and spousal support are among the major issues.
The same applies to couples in same-sex marriages. However, anyone in this relationship can apply for divorce online Oregon on the condition that the other spouse:
- Was underaged;
- Lacked the understanding of being in a marriage;
- Consented to the marriage by force or fraud.
Confirm if you are eligible and know how to file for divorce in Oregon online. This will save time and also reduce filing costs.
Oregon Residency Rules and Circuit Court Jurisdiction
Every state in the United States has a common rule when it comes to divorce residence requirements. Oregon is not left out. The Oregon divorce residency rules state that:
- Couples who married in Oregon can file for divorce automatically;
- If not married in Oregon, one of the spouses must be an Oregon resident for at least six months before filing.
If none of them meets these requirements, they are to file for divorce in another state where all conditions are met. Or they can wait out the six-month Oregon divorce waiting period requirement.
Divorce cases in Oregon are filed in the Circuit court of the county where either spouse resides. This means that the correct county-level court must receive the paperwork for the case to move forward.
When you file in the wrong jurisdiction, expect delays, rejected documents, and frequent calls for corrections. However, using the well-prepared state specific divorce forms Oregon, your documents get instantly approved in no sweat.
How the Online Divorce Process Works in Oregon
Filing an uncontested divorce in Oregon is simple and structured. All you have to do is to follow a guided divorce filing Oregon instead of preparing legal paperwork.
Here’s how it works, step by step:
- Step 1
Fill out all the required information in the questionnaire about your marriage, property, debts, and children, if any.
- Step 2
Enter data once, and the system will organize everything according to Oregon divorce requirements;
- Step 3
Review and sign the forms, then file them with the appropriate circuit courts.
It is very easy to complete the forms as simple and structured as it is. If you are ready to proceed with the online divorce, start the questionnaire now.
From YourForms Questionnaire to Court-Ready Oregon Divorce Forms
Once you’ve completed the Oregon divorce forms on YourForms, the platform immediately processes your information into a court-ready document based on Oregon-specific rules. This also makes the service more accessible to non-legal users and reduces uncertainty.
Most users receive their Oregon divorce paperwork in about 2-3 days, depending on how quickly the questionnaire is completed. Once the divorce papers in Oregon drop on the judge’s desk, it never takes long for it to be reviewed, signed, and approved as uncontested. This form can’t be legally reviewed by an attorney.
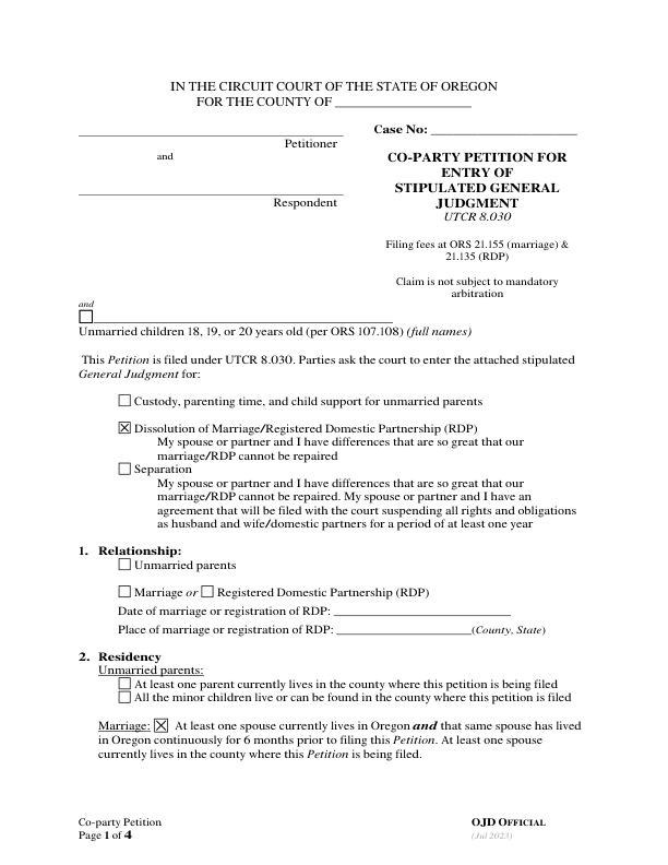
Oregon Divorce Forms and Filing Requirements

To prepare divorce papers Oregon, you must qualify for 2 major dissolution forms. These are:
- The short-form, also known as “summary dissolution”;
- The standard petition.
Qualifying for these forms means that you have met the following filing criteria.
- You or your spouse must meet the Oregon divorce residency requirement of six months, at least;
- You have been married for 10 years or less;
- You do not have minor children together;
- Neither spouse is pregnant;
- No record of previous divorce in Oregon or any other state, and so on.
Note that you only have to use these forms, else any other would be rejected by the Oregon court. And as part of the Oregon uncontested divorce requirements, you must file them in the county where you or your spouse reside. Lastly, the costs of obtaining the forms varies depending on where you live and file for divorce.
Judgment of Dissolution, Mandatory Forms, and County Filing Nuances
In most cases, many couples do not qualify for a summary dissolution. However, they can still file for a “dissolution of marriage” as co-petitioners.
A summary dissolution is an uncontested divorce Oregon process, which allows couples to end their marriage without appearing in court. This streamlined option is only available for the spouses who have satisfied the requirements as stated above.
Once you’ve met all the requirements, the process moves to the final court order that is the judgment of dissolution. This step legally ends a marriage once the judge signs the documents as follow:
- Petition for dissolution of marriage;
- Summons to notify another spouse;
- Parenting plan;
- Etc.
To prepare the documents, you have to make some payments. But again, the cost of divorce in Oregon varies by county.
How Long an Uncontested Divorce Takes in Oregon

People often ask, “How long does a divorce take in Oregon to be approved?” Well, a number of factors determine the timeline:
- What led to the disagreement between spouses;
- The type of divorce required;
- The court workload;
- The waiting period;
- Other related cases.
With these, an uncontested divorce timeline Oregon takes about three months on average. If there are disputes and disagreements, it may take from four months to a year to solve. However, in more complex cases involving irreconcilable conflicts, it can take up to 3-5 years to resolve. For example:
- Fights on property ownership;
- Debts;
- Custody of minor children.
In actual fact, how the separating partners cooperate during the whole process determines how long it will take them to have their divorce official.
Oregon Administrative Review Timeline and Common Delays
You can’t obtain a divorce immediately after using an online divorce service Oregon, although the 90-day waiting period no longer works. This is because there is a timeline to serve your spouse the divorce papers after you’ve met the legal requirements stated by the court.
The respondent has 30 days to respond to the papers after getting them. No response after the deadline is one of the major causes of delay in processing the divorce. As the petitioner, you may then file for an Order of Default, which the judge may later use to finalize the judgment, if need be.
The petitioner receives a final decision more quickly if the judge decides that petitioner has every reason for it. Other common delays are:
- Incomplete or missing forms;
- Incorrect signatures;
- Filing in the wrong county court; and
- Missing information on kids, if any.
When you secure online divorce service and submit the official documents, you can avoid the stress of back-and-forth requests from the court clerk. Keep in mind, however, that timelines still may vary depending on the county court handling your case.
Divorce Cost in Oregon: Court Fees and Online Pricing
How much does a divorce cost in Oregon is determined by two components:
- The court fees;
- The service pricing.
The court fees are charged by the Oregon court when you submit your divorce paperwork. The payment goes directly to the court. The other pricing is what YourForms charges. It is an affordable divorce Oregon fee that covers payment for the filled questionnaire and other related documents filed on the platform.
The service pricing is transparent, and there’s no unnecessary extra charges. Ready to estimate your uncontested divorce cost Oregon? Check our pricing page or use the cost calculator to get started.
Oregon Filing Fees vs YourForms Pricing and Cost Calculator
The Oregon filing cost and service pricing are two different expenses. The court filing fees are processed through the local circuit court where the divorce is filed. These fees go directly to the court and vary by county standards. Also, it includes extra charges.
YourForms, in turn, offers a cheaper Oregon divorce filing fee, which is just $69 per month. This fee is paid to access the questionnaire and generate other related Oregon-specific forms.
Additionally, some clients use add-ons like:
- Electronic signatures;
- Notarization service;
- Other document features.
These tools are useful and simplify your way through the filing process if you and your partner are managing the paperwork yourselves. To estimate the total cost of your case, check the Oregon divorce cost calculator - on the website before starting your filing process.
Why Oregon Couples Choose YourForms for Online Divorce

Many couples in Oregon prefer the easier way when filing for divorce. That’s why they go for YourForms. Reason being that it offers clear online divorce support for an average user to use.
Remember, YourForms is a self-help online service, and not a law firm. The platform only guides couples who already agreed on the terms of their divorce and just need their documents ready for submission.
Here is why they choose it:
- It offers state-specific forms that Oregon courts expect to see;
- It walks users through simple divorce process Oregon;
- The service fees are reasonable and affordable;
- It offers guided support;
- You enjoy money back guarantee divorce when documents get rejected;
- It is available across the United States and Canada.
Prepare your uncontested divorce Oregon forms here in just a few guided steps.
